Last posts

Estrategias de inversión en el open data publico y privado

November 28, 2010 / maestro / Uncategorized

El catalogo de fuentes de datos del proyecto aporta muestra actualmente 719 ‘fuentes publicas de datos‘.(28-11-10)
Durante los debates que tuvieron lugar en el pasado FICOD en la sesión sobre catalogos de información publica y los subsiguientes comentarios en twitter lo que quedó claro es que se demandaban más información, más fuentes y en datos crudos que permitieran un tratamiento comercial posterior, eso siempre con respecto a la legalidad vigente.
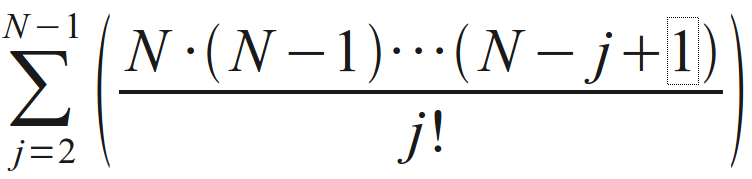
Si el valor/utilidad de estas fuentes viniera por la capacidad de combinarse la fórumla que reflejaría este valor (tomando como N el número de fuentes) se estaría reflejado en la siguiente fórmula,
pero que si suponemos que la vaca es redonda crece con N2.
Simplificando, esta fórmula supone que un crecimiento del 40% en el número de fuentes casi duplica la utilidad global, y duplicar el número de fuentes supone cuadruplicar su utilidad, etc.
Por otra parte para que esa combinación sea posible han de existir estándares comunes (por supuesto abiertos) que permitan esa combinación.
El número de pasarelas a desarrollar para que la combinación sea posible crece con el factorial de su número, por ello introducir una nueva serie de fuentes de datos basados en un estándar distinto puede no suponer un avance en la utilidad global del sistema.
(N número de fuentes y K número de estándares)
Es evidente que no todas las combinaciones proporcionan una utilidad (y que muchas de ellos proporcionarán casi la misma, y deben ser los usuarios y el sector privado los que muestren el camino de aquellas que realmente proporcionan valor.
De cara a las inversiones unas condiciones legales que permitan la reutilización son absolutamente necesarias, difícilmente puede catalogarse algo como fuente como fuente, sino es posible combinarlo con otras informaciones y sería deseable que el próximo decreto que desarrolla la ley 37/2007 así lo establezca.
Para concluir el resumen de la sesión sería “libera mucho, libera crudo y en estándares conocidos” para que una vez superadas las barreras legales, no sean las tecnológicas las que lastren el despliegue de los potenciales beneficios del open data tanto de índole económica como de índole social y política.

Comments are currently closed.